线代单元测试一.pdf

  • 文件大小: 288.14KB
  • 文件类型: pdf
  • 上传日期: 2025-08-25
  • 下载次数: 0

概要信息:

选择题(共 2题,共 0.0分) 
1  
 [A] 1000  
 [B] -1000  
 [C] 2000  
 [D] -2000  
正确答案:C  
试题解析:  
 
2  
 [A] 30m  
 [B] -15m  
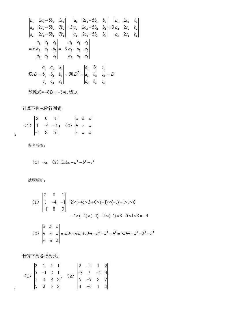
 [C] 6m  
 [D] -6m  
正确答案:D  
试题解析:  
 
3   
参考答案:  
  
试题解析:  
  
4   
 
参考答案:  
 (1)0;(2)-9 
试题解析:  
  
5   
 
参考答案:  
 1 
试题解析:  
  
6   
 
参考答案:  
  
试题解析:  
  
7   
参考答案:  
  
试题解析:

缩略图:

  • 缩略图1
  • 缩略图2
  • 缩略图3
  • 缩略图4
当前页面二维码

广告: