2018-2019年上海市九峰实验学校七上9月月考_.pdf

  • 文件大小: 192.43KB
  • 文件类型: pdf
  • 上传日期: 2025-08-23
  • 下载次数: 0

概要信息:

第 1 页 / 共 6 页
九峰实验学校七年级数学上学期九月考卷
一、填空题(
'17 2 34 '  )
1、 ba 的底数是 .
2、分解因式:
2 2 23 15 9x yz xz xy z   .
3、计算:    5 44 5a a    .
4、已知
m nx 
,
2 1 11nx x  ,且
1 4 7m ny y y   ,则m  , n  .
5、分解因式:    2 2 2m a m a    .
6、若 4mx  , 3nx  ,则
2m nx   .
7、已知:
2 3 10x x  ,则代数式    22 10 5x x x     .
8、已知10 3a  ,10 5b  ,10 7c  ,试将105写成底数是 10的幂的形式 .
9、若 ,a b互为相反数, ,m n互为倒数,那么  2 1nm a bx y y    .
10、计算:
21 1
2 3
m n    
 
.
11、计算:    22 32 4 1mn mn mn    .
12、一个长方体的长、宽、高分别是3 4x  , 2x和 x,则它的体积是 .
13、若     22 5x a x x x b     ,则 a  ,b  .
14、若 5x y  , 6xy  ,则
2 2x y  .
15、若
2 26x x n  是一个完全平方式,则 n  .
16、 x表示三位数, y表示四位数, y放在 x的左边得到的七位数是 .
17、若
2 22 8 17 0x x y y     ,则
yx  .
二、选择题(5 2 ' 10 '  )
1、      22 2 21 1 1x x x    的结果是( )
A. 8 1x  B. 81 x C. 8 42 1x x   D. 8 42 1x x  
关注公众号【魔都中招】获取更多一模二模/自招/月考/期中期末试卷
第 2 页 / 共 6 页
2、当
21
2
x    
 
时,y是方程     22 3 2 1 2 1y y y    的根,则多项式
2 26 9 3 2x xy x y y     的
值( )
A.
45
16
B.
132
16
C.
1
4
D.
3
4
3、如果   21 5x x ax a   的乘积中不含
2x 项,则 a ( )
A. 5 B.5 C.
1
5
D.
1
5

4、设P是关于 x的五次多项式,Q是关于 x的三次多项式,则( )
A. P Q 是关于 x的八次多项式 B. P Q 是关于 x的二次多项式
C. P Q 是关于 x的五次多项式 D. P Q 是关于 x的十五次多项式
5、三个连续偶数,中间一个为 k,则这三个数的积为( )
A. 38 8k k B. 3 4k k C. 34k k D. 38 2k k
三、简答题(8 4 ' 32 '  )
1、用乘法公式计算:
(1)69.7 70.3 (2) 259.8
(3)    2 3 3 2a b c a c b    (4)  22a b c 
2、已知  2 3a b  ,  2 6a b  ,求 ab的值.
3、若    2 21 0x x y    ,求    2x y x x y  的值.
关注公众号【魔都中招】获取更多一模二模/自招/月考/期中期末试卷
第 3 页 / 共 6 页
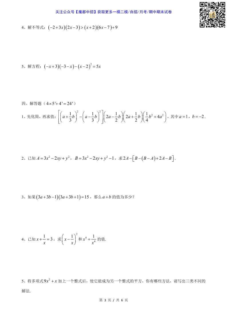
4、解不等式:        2 3 2 3 2 6 7 9x x x x      
5、解方程:      23 3 2 5x x x x      
四、解答题( 4 5' 4 ' 24 '   )
1、先化简,再求值:
2 2
2 21 1 1 1 12 2 4
3 3 2 2 4
a b a b a b a b b a
                     
         
,其中 1a  , 2b   .
2、已知
2 23 2A x xy y   ,
2 23 2 1B x xy y    ,求  2 2A B B A A B       .
3、如果    3 3 1 3 3 1 15a b a b     ,那么 a b 的值为多少?
4、已知
1 3x
x
  ,求
21x
x
  
 
和
4
4
1x
x
 的值.
5、将多项式
29x x 加上一个整式后,使它能成为另一个整式的平方,你有哪些方法,请写出三类不同的
解法.
关注公众号【魔都中招】获取更多一模二模/自招/月考/期中期末试卷
第 4 页 / 共 6 页
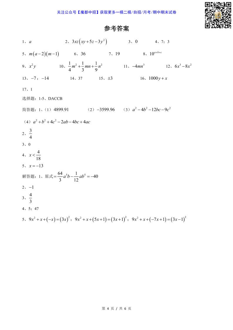
参考答案
1、 a 2、  23 5 3xz xy z y  3、0 4、7;3
5、    2 1m a m  6、36 7、19 8、10a b c 
9、 2x y 10、 2 21 1 1
4 3 9
m mn n  11、 34mn 12、 3 26 8x x
13、 7 ; 14 14、37 15、 3 16、1000y x
17、1
选择题:1-5、DACCB
简答题:1、(1) 4899.91 (2) 3599.96 (3) 2 2 24 12 9a b bc c  
(4) 2 2 24 2 4 4a b c ab bc ac    
2、
3
4
3、0
4、
4
18
x 
5、 13x  
解答题:1、原式
5 564 1 40
3 12
a b ab   
2、 1
3、
4
3
4、5;47
5、    229 3x x x x    ;    229 5 1 3 1x x x x     ;    229 7 1 3 1x x x x     
关注公众号【魔都中招】获取更多一模二模/自招/月考/期中期末试卷
第 5 页 / 共 6 页
关注公众号【魔都中招】获取更多一模二模/自招/月考/期中期末试卷
第 6 页 / 共 6 页
关注公众号【魔都中招】获取更多一模二模/自招/月考/期中期末试卷

缩略图:

  • 缩略图1
  • 缩略图2
  • 缩略图3
  • 缩略图4
  • 缩略图5
当前页面二维码

广告: