华南理工电路真题答案2010--2012.pdf

  • 文件大小: 435.56KB
  • 文件类型: pdf
  • 上传日期: 2025-08-18
  • 下载次数: 0

概要信息:

2010 年电路原理参考答案 
一.填空题 
1)NA发出功率、NB吸收功率;NA吸收功率、NB发出功率 
2)  2A,15V 
3)  1A,1S  
4)R 
5) te 102 
 
6) o4512.2   
7) F25  
8)27 W 
9)  o9010cos24 t  
10) 310 ; 310 ; 310 ;10;10  
11)10V;0.2A 
12)
 30040
1000
2  sss
 
 
二.取网孔为回路,且顺时针绕行,列出结点电压方程: 
10
15
10
5
5
70
)
10
1
10
1
5
1
(
5
1
5
10
5
70
5
1
)
3
1
5
1
5
1
(


nbna
nbna
UU
UU
 
解得 VUVU nbna 25,15   
AUU
RR
U
I nbna
s 6)2515(
5
1
5
70
)(
1
11
1
1   
AU
RR
U
I nb
s 2
10
25
10
51
22
2
2   
AIII 426213   
A
R
U
I na 5
3
15
5
5 

  
AIII 156514   
 
三.回路方程 
0)5(20)(101030
0)(101050


XXX
XX
IIII
III
 
解得 
AIAI X 3,5   
受控源中电流 05  IICS ,故受控源的功率为零。 
四.当 IS1单独作用时,有 
VuVu 8,28
1
28 )1(
2
)1(
1   
当 IS2 单独作用时,有 
VuVu 27
2
54
,12
)2(
2
)2(
1   
根据叠加原理两个电源共同作用时 
WIuuP sS 401)1228()( 1
)2(
1
)1(
11   
WIuuP sS 702)278()( 2
)2(
2
)1(
22   
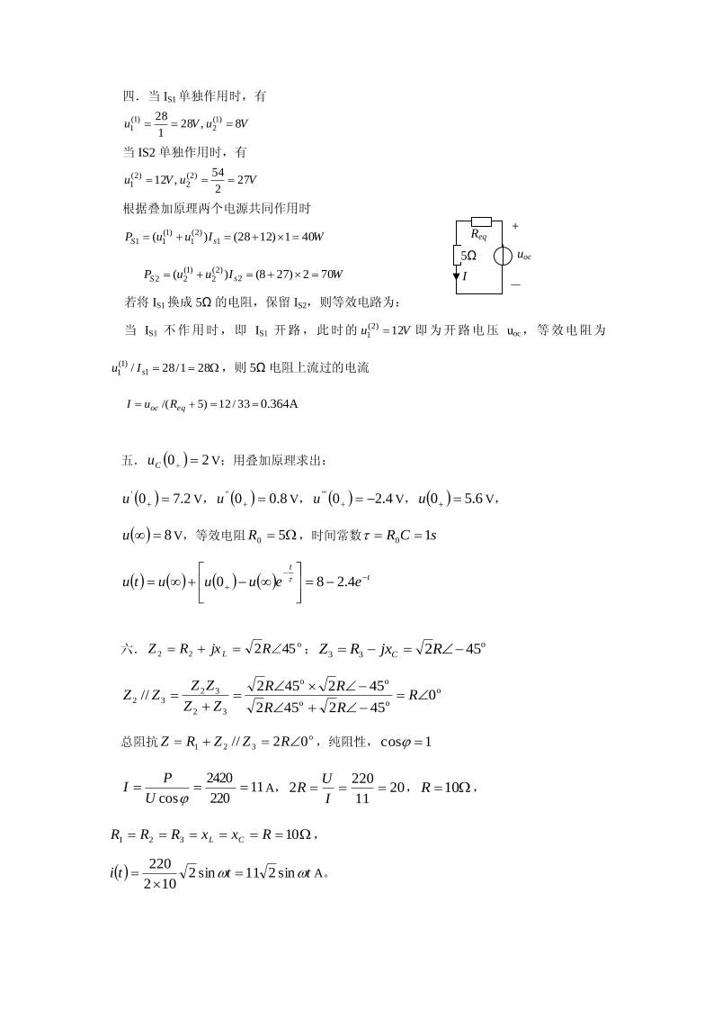
若将 IS1换成 5Ω的电阻,保留 IS2,则等效电路为: 
当 IS1 不作用时,即 IS1 开路,此时的 Vu 12)2(
1  即为开路电压 uoc,等效电阻为
 281/28/ 1
)1(
1 sIu ,则 5Ω 电阻上流过的电流 
 33/12)5/( eqoc RuI 0.364A 
 
五.   20 Cu V;用叠加原理求出: 
  2.70' u V,   8.00'' u V,   4.20''' u V,   6.50 u V, 
  8u V,等效电阻  50R ,时间常数 sCR 10   
        t
t
eeuuutu 

 





 4.280   
 
六.
o
22 452  RjxRZ L ;
o
33 452  RjxRZ C
 
o
oo
oo
32
32
32 0
452452
452452
// 




 R
RR
RR
ZZ
ZZ
ZZ  
总阻抗
o
321 02//  RZZRZ ,纯阻性, 1cos   
11
220
2420
cos

U
P
I A, 20
11
220
2 
I
U
R , 10R , 
 10321 RxxRRR CL , 
  ttti  sin211sin2
102
220


 A。 
 
+ 
― 
uoc 
Req 
5Ω  
I 
七.设 ZZ jxRZ  ,因为 50
50
50
100
2
ZP W,所以  5.12
2
50
22I
P
R Z
Z  
对于电阻和电感并联支路有:
2222
50
21
50
1
























RLL U
I
x
,解得: 
 87.28Lx ,电阻与电感并联阻抗
 
)(65.215.126025
87.2850
87.2850 o 


 j
j
j
Z RL  
由于 I超前于 o45U ,说明整个电路呈容性,且等效容抗与等效电阻相等,即: 
    RLZZRL ZRxZ ReIm  ,可知:  5.125.1265.21  zx , 65.46Zx , 
于是: )(65.465.12  jjxRZ ZZ 。 
 
八.设
o o380
0 220 0
3
AU     V,则 
(1)S 断开时,
o220
3.11 45
50 50
A
A
U
I
Z j
   


 A 
o3.11 165BI   A,
o3.11 75CI   A。 
(2)S 闭合时,
o
o
1
1
380 30
2.69 15
100 100
ABU
I
Z j

   


 A, 
o o o3.11 45 2.68 15 4.8 2.9 5.6 31.1AI j        A; 
o o o3.11 165 2.69 15 5.6 178.9BI       A; 
o3.11 75CI    
(3)S 闭合时,功率表的读数 
   o o
1 cos 380 5.6cos 30 31.1 2128AC A AC AP U I U I       W; 
   o o
2 cos 380 5.6cos 90 178.9 40.85BC B BC BP U I U I       W; 
 
九.  
1 2
10
0 2.5
2 2
S
L
U
i
R R
   
 
A; 
     20 0 0 5 2.5 2 2.5 17.5C L Lu ri R i         V; 
开关 S 合上后,电路分成 2 部分,可以求出: 
 
   
 1
10
2 2.50 2.5 5 5 2.5
2 2 1 1
S L
L
U s Li ssI s
R sL s s s s s

  
    
   
 
   
 0 25 12.5 17.5 25 25
2 15 10
1 1 1
C
C L
u s
I s sC rI s s
s s s s s s
   
                
 
     
5 27.5
10
1
k L CI s I s I s
s s
    

; 
       5 27.5 10t
ki t e t t    (A)。 
 
11 年 
一、填空(每小题 5 分,共 60 分) 
1.30W; -10W 
2.  2V;   2  
3.  6.6667  
4.  -4A;  2A 
5.     A  10 Ci  
6.     V  150 Lu  
7.     V  4 22
1
t
t
x eetu 

  
8.      tt etetf 21    
9.     ttuS 1000cos230  V 
10.  1 1  AI j  ;   2 1 1  AI j  ;    1 2  AI j  ;    1 20 120  VAS j   ;
   2 100 140  VAS j  ;    1 80 260  VAS j   
11.  50 
12.  
       ooo tttti 04.5300sin14.07.17200cos615.019.9100sin63.1833.0  A 
47.134P  W 
 
   o
jj
jj
jZ 19.926.61
20001050
20001050
1101 



oo
mI 19.963.119.9
26.61
100
1   
 
   o
jj
jj
jZ 7.1765
10002050
10002050
2102 



oo
mI 7.17615.07.17
65
40
2   
 
   o
jj
jj
jZ 049.25186.71
7.6663050
7.6663050
3103 



o
o
o
mI 04.514.0
04.2518.71
2010
3 


  
二(10 分)、三(10 分)、四(10 分)题如下 
 
 
五、(10 分) 
由 0i 有:    112 so uuGuuG   ;
21
112
GG
uGuG
u so


  
由 0i 有:    234 so uuGuuG   ;
43
234
GG
uGuG
u so


  
根据   uu ;
43
234
21
112
GG
uGuG
GG
uGuG soso





 
   
3241
23211143
GGGG
uGGGuGGG
u ss
o


  
六、(10 分) 
先根据三要素法求 5H 电感电流: 
       80050102   iii ;    A   100 i ; 
         A  60060500   iiiL ;      A  6000   LL ii ; 
       805
2
1
2  iii ;    A   16i ; 
          A   4816335
2
1
 iiiiL  
 


4
5
4
1
1
52
2
1
iii
i
Ri ;  s  4
5
4
5 
iR
L
  
根据三要素法,可以求出 5H 电感电流为: 
          A  12480 4
tt
LLLL eeiiiti

    
故所求电压为: 
   
 
 V  34812
4
1
5  12481 444
ttt
L
L eee
dt
tdi
Ltitu










  
七、(10 分) 
设右边 1电阻电流为  ti1 ,则通过运算电路去耦并电源等效后,可
知: 
                sIssIssIsIsIs
s
CC  1211
3
1 111  
   sI
s
sI
s
C
1
1
1
1  所以有:    sI
ss
sI C
11
1  代入上式: 
         sI
s
ss
s
sIssI
ss
s
s
CCC
222
1
2
1
11
2
3
1







  
解得:  
  11
1
22
1
22




sss
sIC  
因此:   tetI t
C sin (A) 
八、(15 分) 
 1 1 1000 0.4 400Lx L     ;  6
1 1
200
1000 5 10
Cx
C 
   
 
 
由于 o200 60SU   V,且 1 2 200SU U U   V,可以画出电路中电压与电
流之间关系相位图如图所示: 
SU
2U
1U
I
2I
1I

 
由图可知: 
o o o
1
200 200
30 30 0.5 30
400L
I
x
      A;    o2
cos 1000 30
2
i t t  A 
o o o
2
200 200
90 90 1 90
200C
I
x
      A;    o
2 2 cos 1000 90i t t  A 
o o o
1 2 0.5 30 1 90 0.866 60I I I          A;    o6
cos 1000 60
2
i t t  A 
 
o
o2
2 o
1
200 0
231 60 115.5 200  
0.866 60
U
R j L j
I


       



; 
115.5R  ; 2
200 200
0.2 H
1000
L

   ; W625.865.115
2
3
2
2
1 








 RIP  
九、(15 分) 
把三角形负载化为等效星形负载为: 
 ' 2
2
48 36
16 12
3 3
Z j
Z j

    ; 
将电源看成星形连接,则相电源电压为: 
o
o o o380 30
30 30 220 0
3 3
AB
A
U
U

     

  V; 
对称三相电路 A 相一相电路等效阻抗为: 
 
   
   
 
'
o1 2
'
1 2
12 16 16 12
1 2 12.25 48.4
12 16 16 12
l
j jZ Z
Z Z j
Z Z j j
  
       
   
 
o
o
o
220 0
17.96 48.4
12.25 48.4
A
A
U
I
Z

   


 A; 
o o o17.96 48.4 120 17.96 168.4BI      A; 
o o o17.96 48.4 120 17.96 71.6CI      A; 
   
'
o o2
1 '
1 2
12 16
17.96 48.4 9.06 56.5
12 16 16 12
A A
Z j
I I
Z Z j j

     
   
  A; 
o o
1 1 120 9.06 176.5B AI I     A; o o
1 1 120 9.06 63.5C AI I     A; 
   
o o o o1
2 '
1 2
1 1 16 12
30 30 17.96 48.4 5.23 10.3
12 16 16 123 3
A A
Z j
I I
Z Z j j

         
   
 
o o
2 2 120 5.23 130.3B AI I     A; 
o o
2 2 120 5.23 109.7B AI I     A; 
2 2
1 1 13 3 9.06 12 2955AP I R      W; 
2 2
2 2 23 3 5.23 48 3940AP I R      W; 
o3 cos 3 220 17.96 cos 48.4 7870A AP U I        W 
 
 
 
 
 
2012 年硕士研究生《电路原理》参考答案 
一、填空题 
  1. U=5I+5     
2. 1A;2Ω 
3. 6.667A 
4. 0.6mA 
      5.      120010 1 t
Cu t e t   (V) 
      6.    2 15u t t  (V) 
      7.      5001 0.5 tu t e t  (V) 
      8.   2 1
s
Z s
s
 

 
9.       o o4 2 sin 45 sin 5sin 53.1t t t      (安) 
      10.  0.6 0.2LZ j  ,
max
1
3
P  (W) 
      11. 
 
1 2
0
1 2 1 2
1
2 2
C C
f
C C L L M


 
(Hz) 
12.  45.6(A) 
二解:两电压源单独作用时 
AI 1
46
515
2 


  
电流源单独作用时  
  
AI 610
46
6
2 

  
AIII 761222   
VU
AIII
S
S
2134745
371021


 
三结点编号如图所示,选择结点④为参考结点,结点电压方程为: 












0)
2
1
2
1
12
1
(
2
1
12
1
0
2
1
)
6
1
2
1
5
1
(
5
1
48
321
321
1
nnn
nnn
n
uuu
uuu
Vu
 
解得: VuVuVu nnn 12,18,48 321   
∴ A
uuuu
IA
uu
I nnnn
S
nn 9
125
,3
2
312123
0 





  
电压源发出得功率: WIuP SnS 4329481   
 
 
四、解:2A 电流源作用,电桥平衡: 
 
 
70V 电压源作用: 
 
 
 
 
 
 
五、时间常数:等效电阻  
2 3 6
2 3 5
R

  

,  
5
6
L
s
R
    
(1)当  0 1t s  时: 
   0 0 0i i   ;    
2
1
2
i A   ; 
         1.20 1
t
ti t i i i e e A


          
(3)当  1t s 时: 
     1.21 1 1i i e A
    ;   0i    
             
1
1.2 11.21 1
t
t
i t i i i e e e A

  
          
(3)电流表达式为: 
 
 
     
1.2
1.2 11.2
1                 (A)           0 1
1   (A)            1
t
t
e t s
i t
e e t s

 
   
 
 
 
或写为: 
                     1.2 1 1.2 11.2 1.2 1.2 1.21 1 1 1 1 1 1
t tt t ti t e t e e e t e t e t   
                    
   
(A) 
六、解: 
(1)∵ 
2 2
1
1 1
(5 20 ) (10 20 )
2 2
t t t tdi d
u e e e e
dt dt
           
        ∴元件 1 是电感元件, H5.0L  
0)1( I
A157/7014/70)2( I
A15)2()1(  III
1050W1570 P
(2)∵ 25)0(
2
1
)0(
2
1
)0( 22  cCuLiw  
故 0
2
1
)0(
2
1
25
)0(
2



C
Li
uC  
∴ 元件 2 是电阻, 




 5.1
10
15
)0(
)0()0(1
i
uu
R C
 
(3)∵ 
tttttt
C eeeeeetRitutu 222
1 1010)2010(5.1)205()()()(    
而 )2010()1010()( 22 ttttC eeCee
dt
d
C
dt
du
Cti    
∴可见元件 3 是电容, F1C  
 
七、原电路的运算电路为: 
1
1
2
s


 CU s s
 LI s



1
2
s
 
由运算电路采用节点法求出: 
 
 
   
2 22 2 2
2 2 1
1 4 14 2 6
1 2 2 1 1 1 11
2
C
sss s sU s
s s s s s
s
  
   
      
 
经拉氏反变换,可得: 
  4 cos 6 sint t
Cu t e t e t   (V) 
 
八、将电路中其余电压的参考方向标于图中:画出该电路图对应的相量图如图所示。 
 



A BSU
ABU
I 1I

2I
1R 2R
Ljx
Cjx


1U






2U
1RU
CU
 
 
由电路图可知,相量图中,OAD 和OBD 均为直角三角形,故 OADB 四点共园,直线
OD 为直径;电压 1 2AB RU U U     ,如图所示 
2 2 2 2
2 1 50 30 40 (V)SU U U      
因为 50 (V)AB SU U  ,所以直线 AB 也为为直径 
(1)因此直线 OA 与直线 OB 垂直,直线 DB 与直线 DA 垂直,故 OADB 为一个矩形,因
此: 
 
2 2 40 (V)RU U  , 1 30 (V)CU U  , 2
2
2
40
=0.5 (A)
80
RU
I
R
   
2
30
=60 ( )
0.5
C
c
U
x
I
    
1 1 o
2
30
2 tan 2 tan 73.7
40
C
AB
R
U
U
     
     
  
 
故:
o50 73.7  (V)AB AB ABU U      
(2)由相量图可知,电流 2I 的复角为
1 1 o
2
2
30
tan tan 36.9
40
C
R
U
U
     
     
  
 
故:
o
2 2 2 0.5 36.9  (A)I I     ; 
   o o o o o
1 2 tan 36.9 23.1 90 36.9 0.866 53.1  (A)I I      
 
  
2 2 o o
1 2 1 2 23.1 1 23.1  (A)I I I I I          
SU
1U
2U
2RU
CUABU
1I

2I
I
o23.1
AB
A
B
O D
2
 
 
九、设电压
o380 0   VABU    
(1)当电源相序为正序时,有: 
o
o
1 1 1
1
380 120 190 3
150   (A)
1
1
3
BC
BC
U
I
R jx R
R j

   
  
 
 

  
o
o
2 2 2
2
380 120 190 3
60   (A)
1
3
CA
CA
U
I
R jx x
x j

   
  
 
 

  
电压表两端电压为 
o o o
1 2 190 3 150 190 3 150 = 570=570 180   (V)BC CAU R I jx I           
故电压表 V 的读数为 570V。 
(2)当电源为负序时,有: 
o
o
1 1 1
1
380 120 190 3
90   (A)
1
1
3
BC
BC
U
I
R jx R
R j

   
  
 
 

  
o
o
2 2 2
2
380 120 190 3
180   (A)
1
3
CA
CA
U
I
R jx x
x j

   
  
 
 

  
电压表两端电压为 
o o
1 2 190 3 90 190 3 90 =0  (V)BC CAU R I jx I         
故电压表 V 的读数为 0V。

缩略图:

  • 缩略图1
  • 缩略图2
  • 缩略图3
  • 缩略图4
  • 缩略图5
当前页面二维码

广告: