kim exam report.pdf

  • 文件大小: 179.45KB
  • 文件类型: pdf
  • 上传日期: 2025-08-17
  • 下载次数: 0

概要信息:

2011-2012 / GP1 / 7.2 SOCIAL STUDIES 
cliffordsecbi-170205-6446 93 
Speaking: % (counts as 20% of grade) 
ASSIGNMENT DUE SCORE POSSIBLE 
Listening: % (counts as 20% of grade) 
ASSIGNMENT DUE SCORE POSSIBLE 
Reading: 88% (counts as 30% of grade) 
ASSIGNMENT DUE SCORE POSSIBLE 
EXAM - Content Dec 18 200 200 
QQ - Rome Vocabulary Nov 21 8 8 
GREECE TEST Nov 13 73 100 
QQ- Greek Vocabulary Nov 09 3 8 
GREECE QQ Oct 30 9 10 
QQ-Gods Oct 13 12 12 
Unit 1 Test: Civilizations Oct 08 82 100 
Writing: 100% (counts as 20% of grade) 
ASSIGNMENT DUE SCORE POSSIBLE 
Quick Quiz - Egypt Sep 30 10 10 
Civilization Storyboard Sep 30 10 10 
Behavior: 90% (counts as 10% of grade) 
ASSIGNMENT DUE SCORE POSSIBLE 
BEHAVIOR Oct 27 9 10 
 
2011-2012 / GP1 / 7.2 ELA 
cliffordsecbi-170205-6446 79 
Speaking: 84% (counts as 20% of grade) 
ASSIGNMENT DUE SCORE POSSIBLE 
EXAM - Speaking Dec 18 85 100 
Greek Skit Nov 09 90 100 
Speaking about Greece Nov 09 90 100 
Talking about Vacation Sep 14 70 100 
Listening: 76% (counts as 20% of grade) 
ASSIGNMENT DUE SCORE POSSIBLE 
EXAM - Listening Dec 18 158 205 
Anthenian Democracy 
CLOZE 
Oct 25 79 100 
Apollo CLOZE Oct 11 7 14 
Reading: 77% (counts as 30% of grade) 
ASSIGNMENT DUE SCORE POSSIBLE 
EXAM - Vocabulary Dec 18 155 200 
EXAM - Reading Dec 18 70 100 
Vocabulary Test 1.10 Dec 05 95 100 
Vocabulary Test 1.6 Nov 20 85 100 
Unit 2.3 Vocabulary Test Nov 07 80 100 
Parts of Speech Quiz Nov 06 22 36 
GREECE QQ Oct 30 9 10 
MEGA Vocabulary Test Oct 24 75 100 
Vocabulary Test Unit 8 Oct 16 75 100 
Unit 1 Test Oct 08 82 100 
QQ Egyptian Life Sep 28 10 10 
Vocabulary Test Unit 13 Sep 26 47 100 
Vocab Unit 30 TEST Sep 22 80 100 
Writing: 74% (counts as 20% of grade) 
ASSIGNMENT DUE SCORE POSSIBLE 
EXAM - Writing Dec 18 70 100 
Juilius Caesar Story Nov 24 5 10 
Grammar Gods Oct 23 96 100 
Writing - Zues & Io Oct 16 7 10 
Medusa summary Oct 13 5 10 
QQ- Vocabulary Sentences Oct 11 5 5 
DGP Quiz Oct 11 55 100 
Civilization Storyboard Sep 22 10 10 
QQ -Vocab Sentences Sep 22 5 5 
Behavior: 90% (counts as 10% of grade) 
ASSIGNMENT DUE SCORE POSSIBLE 
BEHAVIOR Oct 27 9 10 
 
2011-2012 / GP2 / 7-3 SOCIAL STUDIES 
cliffordsecbi-170205-6446 B (82%) 
Content: 85% (counts as 60% of grade) 
ASSIGNMENT DUE SCORE POSSIBLE 
FINAL EXAM Jun 27 149 155 
Colonies QQ Jun 21 5 5 
European Explorers QQ Jun 20 3 5 
Colonies Reading 
Comprehension Questions 
Jun 19 17 19 
Age of Exploration Test May 23 70 100 
World Explorers Map Skills Apr 05 5 10 
Northwest Passage Map 
Skills 
Mar 14 10 11 
Map Skills - American 
Southwest 
Mar 07 3 5 
Map Skils - Early Spanish 
Explorers 
Feb 29 11 13 
Map Skills - Canada Feb 21 7 7 
Projects: 76% (counts as 30% of grade) 
ASSIGNMENT DUE SCORE POSSIBLE 
Explorer Project May 05 38 50 
Behavior: 80% (counts as 10% of grade) 
ASSIGNMENT DUE SCORE POSSIBLE 
Behavior Jun 29 80 100 
 
2011-2012 / GP2 / 7-3 ENGLISH LANGUAGE ARTS 
cliffordsecbi-170205-6446 B (88%) 
Reading: 90% (counts as 30% of grade) 
ASSIGNMENT DUE SCORE POSSIBLE 
READING EXAM Jun 26 70 150 
14 Key Word Test Jun 11 53 60 
2nd Semester Vocabulary 
Exam 
Jun 06 294 300 
2nd Semester Vocabulary 
QQ 
Jun 05 22 25 
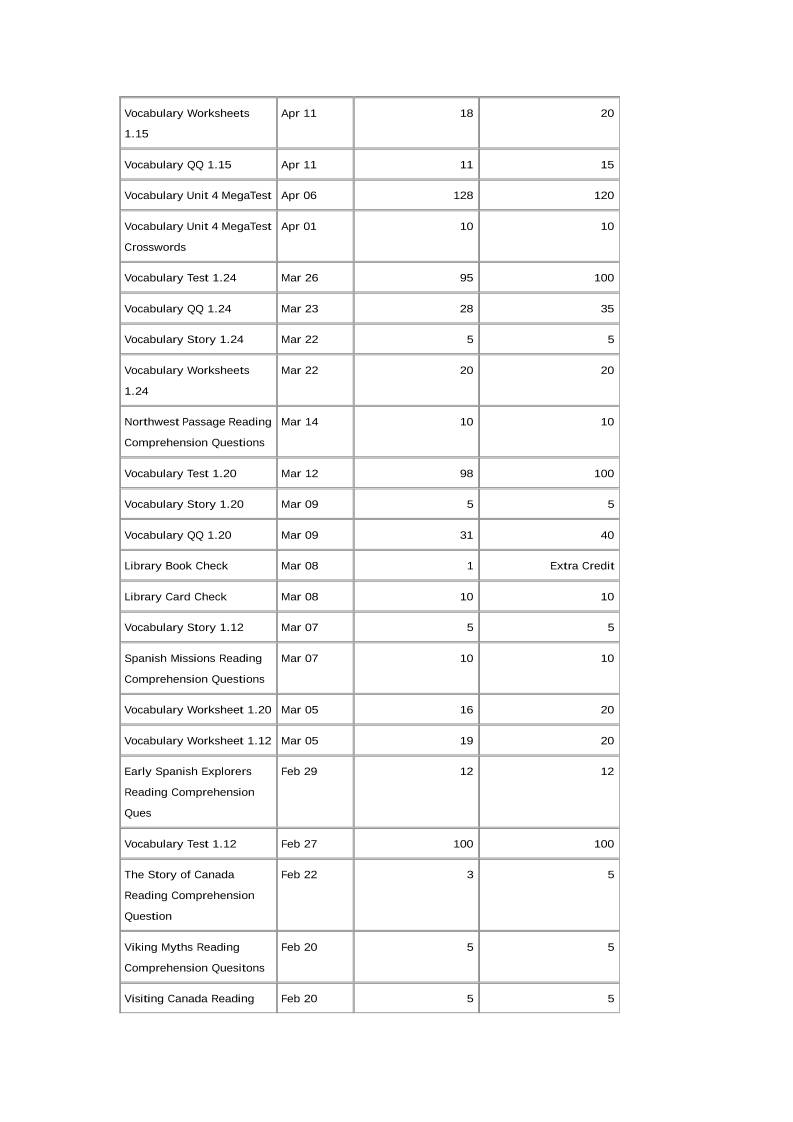
Vocabulary Worksheets 
1.17 
Jun 04 19 20 
The Odyssey Test May 31 30 30 
Vocabulary Story 1.9 May 31 5 5 
Vocabulary Worksheets 1.9 May 31 19 20 
Vocabulary Story 1.29 May 30 5 5 
Vocabulary QQ 1.29 May 25 17 25 
Unit 5 Reading Test May 18 18 20 
Vocabulary MegaTest #2 May 13 134 150 
Vocabulary MegaTest #2 May 13 134 150 
Vocabulary Test 1.17 Apr 28 100 100 
Motives and Means RC Q's Apr 18 11 17 
Vocabulary Unit 5 MegaTest Apr 16 134 150 
Vocabulary QQ 1.17 Apr 16 37 40 
Vocabulary Test 1.15 Apr 16 100 100 
Vocabulary Story 1.15 Apr 11 4 5 
Vocabulary Worksheets 
1.15 
Apr 11 18 20 
Vocabulary QQ 1.15 Apr 11 11 15 
Vocabulary Unit 4 MegaTest Apr 06 128 120 
Vocabulary Unit 4 MegaTest 
Crosswords 
Apr 01 10 10 
Vocabulary Test 1.24 Mar 26 95 100 
Vocabulary QQ 1.24 Mar 23 28 35 
Vocabulary Story 1.24 Mar 22 5 5 
Vocabulary Worksheets 
1.24 
Mar 22 20 20 
Northwest Passage Reading 
Comprehension Questions 
Mar 14 10 10 
Vocabulary Test 1.20 Mar 12 98 100 
Vocabulary Story 1.20 Mar 09 5 5 
Vocabulary QQ 1.20 Mar 09 31 40 
Library Book Check Mar 08 1 Extra Credit 
Library Card Check Mar 08 10 10 
Vocabulary Story 1.12 Mar 07 5 5 
Spanish Missions Reading 
Comprehension Questions 
Mar 07 10 10 
Vocabulary Worksheet 1.20 Mar 05 16 20 
Vocabulary Worksheet 1.12 Mar 05 19 20 
Early Spanish Explorers 
Reading Comprehension 
Ques 
Feb 29 12 12 
Vocabulary Test 1.12 Feb 27 100 100 
The Story of Canada 
Reading Comprehension 
Question 
Feb 22 3 5 
Viking Myths Reading 
Comprehension Quesitons 
Feb 20 5 5 
Visiting Canada Reading Feb 20 5 5 
Comprehension Questions 
The Vikings Scanning 
Practice 
Feb 16 9 9 
The Vikings Reading 
Comprehension Questions 
Feb 14 6 8 
Vocabulary Worksheets 
1.29 
May 31 16 20 
Writing: 86% (counts as 20% of grade) 
ASSIGNMENT DUE SCORE POSSIBLE 
WRITING EXAM Jun 29 80 100 
DGP Quiz #2 May 30 32 40 
DGP Quiz #1 Apr 05 33 35 
Spanish Explorers 
Sentences 
Mar 01 10 10 
Subject/Verb Agreement - 
Viking writing 
Feb 15 10 10 
Vocabulary Story 1.17 Nov 30 25 25 
Speaking: 82% (counts as 20% of grade) 
ASSIGNMENT DUE SCORE POSSIBLE 
SPEAKING EXAM Jun 28 80 100 
Unit 5 Speaking Test May 16 17 20 
Explorer Presentation May 03 23 25 
Vocabulary Dialogue - Mega Nov 30 19 25 
Listening: 92% (counts as 20% of grade) 
ASSIGNMENT DUE SCORE POSSIBLE 
LISTENING EXAM Jun 25 220 238 
Unit 5 Listening Test May 22 46 50 
Spanish Missions CLOZE Mar 09 26.5 30 
The Vikings CLOZE test Feb 14 16 16 
Behavior: 85% (counts as 10% of grade) 
ASSIGNMENT DUE SCORE POSSIBLE 
Behavior Jun 29 85 100 
 
2011-2012 / GP2 / 7-3 BIO 
cliffordsecbi-170205-6446 89 
Assignments: 88% (counts as 45% of grade) 
ASSIGNMENT DUE SCORE POSSIBLE 
Birds 007 Jun 06 40 40 
Reptiles 006 May 30 35 40 
Amphibians 005 May 30 50 50 
Fish 004 May 25 30 30 
Other Invertebrates 003 May 25 28 30 
Insects 002 May 18 50 50 
Life Cycles 001 May 18 15 20 
Sugar-Bonus Apr 11   ec 
Useful Microbes 08 Apr 09 20 40 
Cells and Infections 07 Apr 06 30 40 
Oral Sentence-Bonus Mar 30   ec 
Dividing and Reproducing 
06 
Mar 26 90 95 
Sentence-Bonus Mar 21   ec 
Photosynthesis-Bonus Mar 16   ec 
Plant Cells 03 Mar 14 45 60 
Animal Cells 02 Mar 07 40 40 
Textbook-Bonus Feb 22   ec 
Tests: 77% (counts as 45% of grade) 
ASSIGNMENT DUE SCORE POSSIBLE 
AWL-Semester Final Jun 29 183 300 
The Animal 
Kingdom-Semester Final 
Jun 27 81 115 
QQ Jun 13 50 50 
QQ Jun 06 40 ec 
QQ May 28 4 ec 
QQ May 23 35 50 
AWL 1-Bonus May 11 0 ec 
Vocabulary Test-AWL 4 May 11 22 40 
Cells and Microbes-Reading Apr 25 42.5 50 
Cells and 
Microbes-Listening 
Apr 25 86 90 
QQ Apr 18 10 10 
QQ-Bonus Apr 06 2 ec 
QQ Apr 06 7 10 
Vocabulary Test-AWL 3 Mar 21 2 ec 
Vocabulary Test-AWL 3 Mar 21 26 40 
QQ Mar 14 8 10 
QQ Mar 07 0 10 
QQ Feb 29 9 10 
QQ Feb 22 8 10 
Behavior: 140% (counts as 10% of grade) 
ASSIGNMENT DUE SCORE POSSIBLE 
Engrade May 28 20 ec 
Cells and Microbes-Unit 
Project 
May 04   ec 
Engrade Apr 28 0 ec 
Engrade Mar 28 20 ec 
Engrade Feb 28 0 ec 
Behavior Feb 11 100 100 
 
2012-2013 / GP1 / 8.3 SOCIAL STUDIES 
cliffordsecbi-170205-6446 92 
Content and Application: 83% (counts as 30% of grade) 
ASSIGNMENT DUE SCORE POSSIBLE 
Semester Exam Dec 18 150 204 
Term 2 - Renaissance and 
Reformation - Content 
Nov 13 80 90 
Term 1: Social Studies Test Oct 14 96 100 
Presentations and Projects: 95% (counts as 60% of grade) 
ASSIGNMENT DUE SCORE POSSIBLE 
Sonnet 18 Nov 29 98 98 
Term 2 Speaking - 
Renaissance and 
Reformation 
Nov 15 90 100 
Behavior: 100% (counts as 10% of grade) 
ASSIGNMENT DUE SCORE POSSIBLE 
Behavior Jan 14 100 100 
 
2012-2013 / GP1 / 8.3 PHYSICS 
cliffordsecbi-170205-6446 88 
Application & Content: 88% (counts as 30% of grade) 
ASSIGNMENT DUE SCORE POSSIBLE 
Semester 1 Scientific 
Method Test 
Jan 15 30 30 
Semester 1 Writing Test Dec 20 90 100 
Children's Health - 4 
questions 
Dec 14 35 40 
Writing prompt - Paying 
Students 
Oct 30 85 100 
Paying students - 3 
questions 
Oct 30 30 30 
Writing prompt Human 
Issues 
Oct 18 80 100 
Issues in Education - 4 
questions 
Oct 02 35 40 
Standard Testing Writing 
Prompt 
Sep 28 90 100 
Writing Prompt Stand Test Sep 14 90 100 
Presentations & Projects: 87% (counts as 60% of grade) 
ASSIGNMENT DUE SCORE POSSIBLE 
Semester 1 Vocabulary Test Jan 14 93 105 
Term 2 Dictation Quiz Dec 12 96 100 
SERP Term 1 Reading Quiz Nov 01 85 100 
SERP Term 1 Listening 
Comp Quiz 
Nov 01 40 40 
SERP Term 1 Vocabulary 
Quiz 
Nov 01 100 100 
Binder check Oct 28 83 100 
Pro Athletes - 3 questions Oct 23 30 30 
Units 1,2, 3 Vocab. Quiz Oct 21 40 75 
Behavior: 95% (counts as 10% of grade) 
ASSIGNMENT DUE SCORE POSSIBLE 
Behavior Jan 10 95 100 
 
2012-2013 / GP1 / 8.3 ENGLISH 
cliffordsecbi-170205-6446 95 
Speaking: 95% (counts as 15% of grade) 
ASSIGNMENT DUE SCORE POSSIBLE 
Semester Exam Speaking Jan 10 90 100 
Term 2 Speaking - 
Renaissance and 
Reformation 
Nov 06 90 100 
Sonnet 18 Nov 01 10 Extra Credit 
Writing: 93% (counts as 30% of grade) 
ASSIGNMENT DUE SCORE POSSIBLE 
Semester Exam Writing Dec 19 95 100 
Term 2 Test - Renaissance 
and Reformation - Writin 
Nov 06 90 100 
Term 1: Writing Test Sep 28 95 100 
Reading: 97% (counts as 30% of grade) 
ASSIGNMENT DUE SCORE POSSIBLE 
Semester Exam Reading Dec 20 98 90 
Semester Exam Vocabulary Dec 17 282 273 
Vocabulary Quiz 2.20 part 1 Dec 02 6 10 
Term 3 Unit Test - 
Vocabulary 2.8 & 2.28 
Nov 26 74 94 
Term 2 - Vocabulary Test - Nov 17 120 120 
Term 2 Test - Renaissance 
and Reformation - Readin 
Nov 05 86 100 
Vocabulary Quiz 2.4 Oct 29 100 100 
Term 1: Vocabulary Test Sep 29 120 120 
Term 1: Reading Test Sep 27 89 100 
Vocabulary Quiz 2.9 Sep 20 95 100 
Vocabulary Quiz 2.29 Sep 10 95 100 
Listening: 93% (counts as 15% of grade) 
ASSIGNMENT DUE SCORE POSSIBLE 
Semester Exam - Listening Dec 18 334 369 
Term 2 Test - Renaissance 
and Reformation - Listen 
Nov 05 323 334 
Term 1: Listening Test Oct 14 93.5 100 
Behavior: 100% (counts as 10% of grade) 
ASSIGNMENT DUE SCORE POSSIBLE 
Behavior Jan 12 100 100 
 
2012-2013 / GP2 / 8.4 SOCIAL STUDIES 
cliffordsecbi-170205-6446 84 
Tests and Quizzes: 98% (counts as 30% of grade) 
ASSIGNMENT DUE SCORE POSSIBLE 
semester content test Jun 19 145 150 
writing fluency - your topic 
US 
May 23 95 100 
Term 5 Content May 09 85 100 
Term 4 Content test Mar 29 78 60 
Projects and Presentations: 76% (counts as 60% of grade) 
ASSIGNMENT DUE SCORE POSSIBLE 
US Geography slides Jun 03 85 100 
US Geography Jun 03 83 100 
topic content fluency 
writing 
May 01 35 50 
Term 5 Presentation Apr 26 76 100 
timeline American 
Revolution makeup 
Mar 29 25 25 
term 4 content review 
presentation 
Mar 29 144 200 
timeline American 
Revolution 
Mar 22 45 50 
Storytelling American 
Revolution 
Mar 18 90 100 
compare prelude Am Rev to 
ECC, FR 
Mar 17 6 5 
French Revolution Timeline Mar 11 25 50 
Power Shift King People Mar 01 25 50 
Eng Fr compare and 
contrast 
Feb 28 30 50 
Behavior: 87% (counts as 10% of grade) 
ASSIGNMENT DUE SCORE POSSIBLE 
Behaviour Jun 20 95 100 
Project Evaluation Apr 19 71 90 
 
2012-2013 / GP2 / 8.4 PHYSICS 
cliffordsecbi-170205-6446 88 
Content Knowledge/Application: 95% (counts as 30% of grade) 
ASSIGNMENT DUE SCORE POSSIBLE 
Vocabulary Final Test Jun 18 213 213 
Term 6 Vocabulary Final Jun 08 87 90 
QQ - 34, 42, 66 May 23 30 30 
Corporal Punishment 
questions 
May 16 15 20 
QQ - 34, 42 May 09 12 20 
Mid-term Vocab. Test Apr 27 124 124 
Vocab. quiz 25 words Apr 10 25 25 
Vocab. quiz 20 words Apr 10 9 20 
Presentations/Projects: 83% (counts as 60% of grade) 
ASSIGNMENT DUE SCORE POSSIBLE 
Debate - GMO's May 02 80 100 
Debate - Assisted Suicide Mar 21 90 100 
Debate - Bullying Mar 21 80 100 
Behavior: 95% (counts as 10% of grade) 
ASSIGNMENT DUE SCORE POSSIBLE 
Behavior/Participation Jun 25 95 100 
 
2012-2013 / GP2 / 8.4 ENGLISH 
cliffordsecbi-170205-6446 88 
Speaking: 85% (counts as 15% of grade) 
ASSIGNMENT DUE SCORE POSSIBLE 
Semester 2 Speaking Jun 17 85 100 
Term Speaking Test Apr 26 85 100 
Writing: 84% (counts as 30% of grade) 
ASSIGNMENT DUE SCORE POSSIBLE 
Semester 2 Writing Jun 21 90 100 
vocabulary writing Jun 06 20 20 
writing fluency - your topic May 02 90 100 
Term Writing Test Apr 25 75 100 
unit 12 vocabulary story Apr 12 14 20 
compare prelude Am Rev to 
ECC, FR 
Mar 17 7 10 
American Revolution 
prelude 
Mar 13 16 20 
20 words Mar 04 40 50 
Reading: 93% (counts as 30% of grade) 
ASSIGNMENT DUE SCORE POSSIBLE 
Oxford Reading Level June Jun 24 4 0 
Oxford Reading Level 
August 
Jun 24 3 0 
Semester 2 Reading Jun 21 90 100 
semester vocabulary Jun 19 178 180 
Semester DGP Jun 14 95 100 
Vocabulary 2.21,24 Jun 03 170 180 
Term DGP test May 09 70 100 
Vocabulary 2.14 2.16 May 06 128 110 
Term Reading Test Apr 24 73 100 
DGP Mar 21 39 50 
Vocabulary 2.15 2.17 Mar 11 126 132 
Listening: 92% (counts as 15% of grade) 
ASSIGNMENT DUE SCORE POSSIBLE 
Semester 2 Listening Jun 21 80 100 
Term Listening Test Apr 24 285 295 
Behavior: 86% (counts as 10% of grade) 
ASSIGNMENT DUE SCORE POSSIBLE 
Behaviour Jun 21 90 100 
DGP Mar 11 10 10 
DGP Feb 27 7 10 
DGP Feb 25 5 10 
 
2013-2014 / GP1 / 9.5 SOCIAL STUDIES 
cliffordsecbi-170205-6446 A(95%) 
Tests and Quizzes: 95% (counts as 30% of grade) 
ASSIGNMENT DUE SCORE POSSIBLE 
Semester Exam: Content Jan 02 99 100 
Industrial Revolution, 
Economics, and 
Immigration 
Sep 24 91 100 
Projects and Presentations: 8% (counts as 60% of grade) 
ASSIGNMENT DUE SCORE POSSIBLE 
Term 2 study area Oct 22 95 100 
socialism/captialism Oct 16 8.5 10 
Behaviour: 95% (counts as 10% of grade) 
ASSIGNMENT DUE SCORE POSSIBLE 
Semester Behavior Jan 06 95 100 
 
2013-2014 / GP1 / 9.5 SCIENCE 
cliffordsecbi-170205-6446 94 
Content Knowledge/Application: 94% (counts as 30% of grade) 
ASSIGNMENT DUE SCORE POSSIBLE 
Semester 1 Vocabulary Test Dec 15 105 105 
QQ - 20 words Dec 15 48 60 
Steriod questions Nov 28 30 30 
Presentation/Projects: 95% (counts as 60% of grade) 
ASSIGNMENT DUE SCORE POSSIBLE 
Element Advertisements Jan 07 95 100 
Adopt-An-Element 
Presentations 
Jan 07 95 100 
W.P. - Death Penalty Oct 15 EXC 100 
Behavior: 90% (counts as 10% of grade) 
ASSIGNMENT DUE SCORE POSSIBLE 
Behavior and Effort Jan 08 90 100 
QQ - 10 words Oct 15 EXC 50 
Records: % (counts as % of grade) 
ASSIGNMENT DUE SCORE POSSIBLE 
 
2013-2014 / GP1 / 9.5 ENGLISH 
cliffordsecbi-170205-6446 B (89%) 
Speaking: 91% (counts as 15% of grade) 
ASSIGNMENT DUE SCORE POSSIBLE 
Semester Exam: Speaking Jan 07 92 100 
Speaking Mid Term Oct 10 90 100 
Writing: 79% (counts as 30% of grade) 
ASSIGNMENT DUE SCORE POSSIBLE 
Semester Exam: Writing Jan 02 80 100 
DGP Nov 15 34 45 
vocabulary writing Nov 05 85 100 
writing mid term Oct 11 74 100 
Reading: 95% (counts as 30% of grade) 
ASSIGNMENT DUE SCORE POSSIBLE 
Semester Exam: 
Vocabulary 
Dec 18 266 268 
Semester Exam: Reading Dec 12 95 102 
Vocabulary Test 3.17 & Dec 03 117 120 
3.18 
Vocabulary Test 3.17 Nov 19 100 100 
Vocabulary 3.5 3.16 Nov 01   120 
Vocabulary 3.5 Oct 22 95 100 
Reading Mid Term Oct 11 75 100 
Vocabulary 3.2 3.3 Sep 24 112 124 
Vocabulary 3.2 Sep 10 100 100 
Listening: 91% (counts as 15% of grade) 
ASSIGNMENT DUE SCORE POSSIBLE 
Semester Exam: Listening 
Comprehension 
Dec 27 50 50 
Semester Exam: Dictation Dec 27 96 102 
Listening Mid Term Oct 11 165 190 
Behaviour: 95% (counts as 10% of grade) 
ASSIGNMENT DUE SCORE POSSIBLE 
Semester Behavior Jan 06 95 100 
Records: 63% (counts as 0% of grade) 
ASSIGNMENT DUE SCORE POSSIBLE 
Oxford Bookworms Reading 
Level: August 
Sep 05 3 6 
WIDA Score: Writing Test: 
December 
Sep 04 3 6 
WIDA Scores: Writing Test: 
October 
Sep 03 3.7 6 
WIDA Score: Speaking 
Test: December 
Sep 02 4 5 
WIDA Score: Speaking 
Test: October 
Sep 01 4.0 5

缩略图:

  • 缩略图1
  • 缩略图2
  • 缩略图3
  • 缩略图4
  • 缩略图5
当前页面二维码

广告: