通信与信息系统成绩排名.pdf

  • 文件大小: 145.28KB
  • 文件类型: pdf
  • 上传日期: 2025-08-16
  • 下载次数: 0

概要信息:

阿杜制表,如有出入,恳请及时指出!
排名 准考证号 姓名 学院 专业 初试成绩 复试成绩 总分 学位类型 备注
1 102804102800140 包怡欣 通信与信息工程学院 通信与信息系统 0 0 0 学术型 推荐免试
2 102804102800138 蔡宇烽 通信与信息工程学院 通信与信息系统 0 0 0 学术型 推荐免试
3 102804102800131 宫仁祥 通信与信息工程学院 通信与信息系统 0 0 0 学术型 推荐免试
4 102804102800136 黄荷 通信与信息工程学院 通信与信息系统 0 0 0 学术型 推荐免试
5 102804102800137 解钧捷 通信与信息工程学院 通信与信息系统 0 0 0 学术型 推荐免试
6 102804102800134 梁滨 通信与信息工程学院 通信与信息系统 0 0 0 学术型 推荐免试
7 102804102800135 孙健 通信与信息工程学院 通信与信息系统 0 0 0 学术型 推荐免试
8 102804102800130 孙欣欣 通信与信息工程学院 通信与信息系统 0 0 0 学术型 推荐免试
9 102804102800132 夏玮栋 通信与信息工程学院 通信与信息系统 0 0 0 学术型 推荐免试
10 102804102800139 张晓帅 通信与信息工程学院 通信与信息系统 0 0 0 学术型 推荐免试
11 102804102800133 张镇 通信与信息工程学院 通信与信息系统 0 0 0 学术型 推荐免试
12 102804210000169 吕金鹏 通信与信息工程学院 通信与信息系统 367 261 628 学术型
13 102804210003972 陈荣荣 通信与信息工程学院 通信与信息系统 370 239 609 学术型
14 102804210000116 李林霄 通信与信息工程学院 通信与信息系统 356 246 602 学术型
15 102804210010143 邹禾灿 通信与信息工程学院 通信与信息系统 367 235 602 学术型
16 102804210000115 王晓江 通信与信息工程学院 通信与信息系统 357 239 596 学术型
17 102804210004968 姚彬 通信与信息工程学院 通信与信息系统 370 218 588 学术型
18 102804210005578 陕伟 通信与信息工程学院 通信与信息系统 374 212 586 学术型
19 102804210004966 相龙飞 通信与信息工程学院 通信与信息系统 351 232 583 学术型
20 102804210009830 方玲 通信与信息工程学院 通信与信息系统 348 233 581 学术型
21 102804210006808 洪琳 通信与信息工程学院 通信与信息系统 322 259 581 学术型
22 102804210003960 刘人榕 通信与信息工程学院 通信与信息系统 345 228 573 学术型
23 102804210000097 陈大鹏 通信与信息工程学院 通信与信息系统 322 246 568 学术型
24 102804210005091 宋杭科 通信与信息工程学院 通信与信息系统 315 253 568 学术型
25 102804210006056 张杰 通信与信息工程学院 通信与信息系统 351 213 564 学术型
26 102804210006856 谢伟伦 通信与信息工程学院 通信与信息系统 333 227 560 学术型
27 102804210009693 程雪丽 通信与信息工程学院 通信与信息系统 360 199 559 学术型
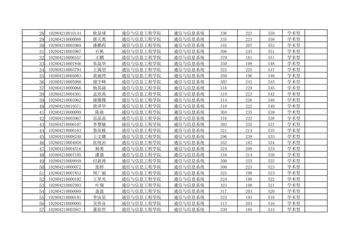
28 102804210010144 耿显球 通信与信息工程学院 通信与信息系统 336 223 559 学术型
29 102804210000088 屠天禺 通信与信息工程学院 通信与信息系统 335 223 558 学术型
30 102804210003969 潘鹏程 通信与信息工程学院 通信与信息系统 345 207 552 学术型
31 102804210003967 石帆 通信与信息工程学院 通信与信息系统 306 245 551 学术型
32 102804210006557 王鹏 通信与信息工程学院 通信与信息系统 370 181 551 学术型
33 102804210007846 朱晶华 通信与信息工程学院 通信与信息系统 350 198 548 学术型
34 102804210003794 王渴望 通信与信息工程学院 通信与信息系统 322 225 547 学术型
35 102804210005083 黄丽湾 通信与信息工程学院 通信与信息系统 350 196 546 学术型
36 102804210005088 谢宇峰 通信与信息工程学院 通信与信息系统 302 243 545 学术型
37 102804210000066 杨其阔 通信与信息工程学院 通信与信息系统 316 229 545 学术型
38 102804210004301 孟欣禹 通信与信息工程学院 通信与信息系统 319 223 542 学术型
39 102804210003962 康朦朦 通信与信息工程学院 通信与信息系统 314 226 540 学术型
40 102804210010571 唐泽华 通信与信息工程学院 通信与信息系统 318 222 540 学术型
41 102804210000099 陈曲 通信与信息工程学院 通信与信息系统 304 235 539 学术型
42 102804210003067 范晶晶 通信与信息工程学院 通信与信息系统 316 222 538 学术型
43 102804210000107 李慧敏 通信与信息工程学院 通信与信息系统 302 235 537 学术型
44 102804210000163 裴欣栋 通信与信息工程学院 通信与信息系统 321 214 535 学术型
45 102804210008240 王文娜 通信与信息工程学院 通信与信息系统 296 239 535 学术型
46 102804210004958 张统治 通信与信息工程学院 通信与信息系统 352 182 534 学术型
47 102804210004516 杨勇 通信与信息工程学院 通信与信息系统 324 209 533 学术型
48 102804210007195 潘强 通信与信息工程学院 通信与信息系统 316 214 530 学术型
49 102804210009949 付新涛 通信与信息工程学院 通信与信息系统 300 225 525 学术型
50 102804210000072 张婷 通信与信息工程学院 通信与信息系统 300 223 523 学术型
51 102804210007853 周广丽 通信与信息工程学院 通信与信息系统 325 198 523 学术型
52 102804210000102 王星光 通信与信息工程学院 通信与信息系统 324 198 522 学术型
53 102804210007093 叶翔 通信与信息工程学院 通信与信息系统 323 198 521 学术型
54 102804210000089 盈盈 通信与信息工程学院 通信与信息系统 317 203 520 学术型
55 102804210000181 李汝星 通信与信息工程学院 通信与信息系统 323 193 516 学术型
56 102804210000095 吴伟良 通信与信息工程学院 通信与信息系统 313 203 516 学术型
57 102804210003947 董徐哲 通信与信息工程学院 通信与信息系统 330 185 515 学术型
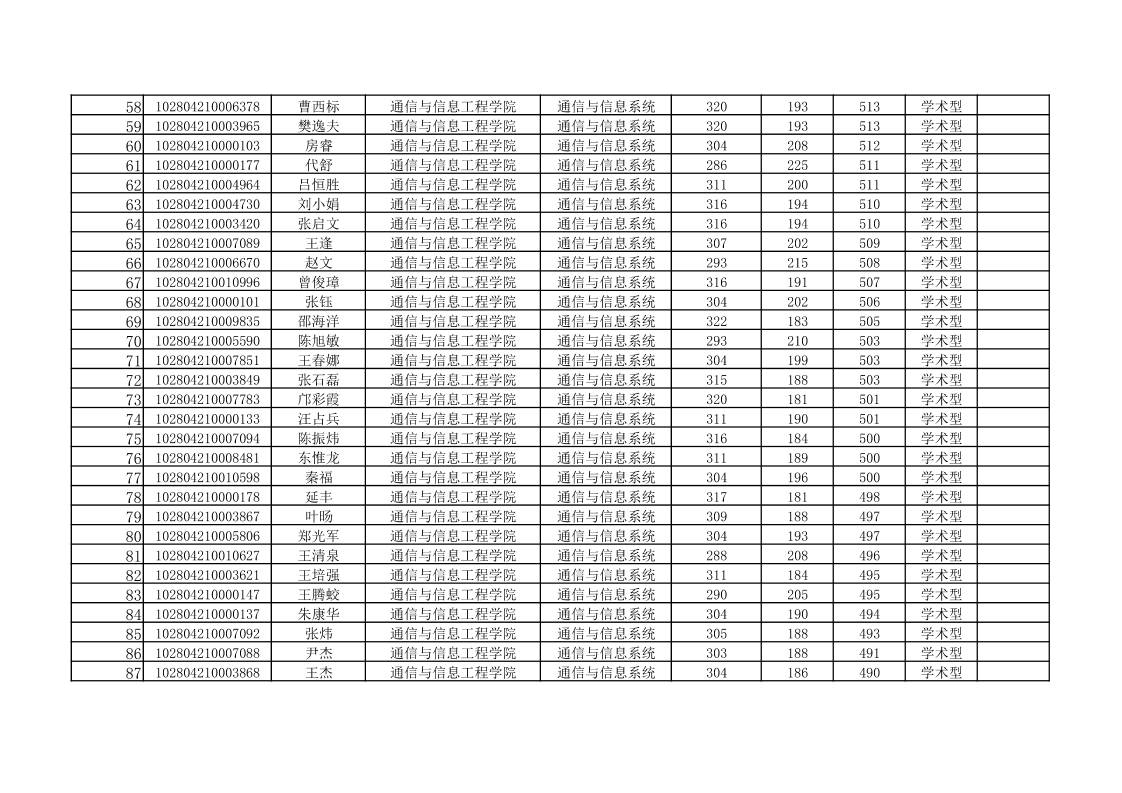
58 102804210006378 曹西标 通信与信息工程学院 通信与信息系统 320 193 513 学术型
59 102804210003965 樊逸夫 通信与信息工程学院 通信与信息系统 320 193 513 学术型
60 102804210000103 房睿 通信与信息工程学院 通信与信息系统 304 208 512 学术型
61 102804210000177 代舒 通信与信息工程学院 通信与信息系统 286 225 511 学术型
62 102804210004964 吕恒胜 通信与信息工程学院 通信与信息系统 311 200 511 学术型
63 102804210004730 刘小娟 通信与信息工程学院 通信与信息系统 316 194 510 学术型
64 102804210003420 张启文 通信与信息工程学院 通信与信息系统 316 194 510 学术型
65 102804210007089 王逢 通信与信息工程学院 通信与信息系统 307 202 509 学术型
66 102804210006670 赵文 通信与信息工程学院 通信与信息系统 293 215 508 学术型
67 102804210010996 曾俊璋 通信与信息工程学院 通信与信息系统 316 191 507 学术型
68 102804210000101 张钰 通信与信息工程学院 通信与信息系统 304 202 506 学术型
69 102804210009835 邵海洋 通信与信息工程学院 通信与信息系统 322 183 505 学术型
70 102804210005590 陈旭敏 通信与信息工程学院 通信与信息系统 293 210 503 学术型
71 102804210007851 王春娜 通信与信息工程学院 通信与信息系统 304 199 503 学术型
72 102804210003849 张石磊 通信与信息工程学院 通信与信息系统 315 188 503 学术型
73 102804210007783 邝彩霞 通信与信息工程学院 通信与信息系统 320 181 501 学术型
74 102804210000133 汪占兵 通信与信息工程学院 通信与信息系统 311 190 501 学术型
75 102804210007094 陈振炜 通信与信息工程学院 通信与信息系统 316 184 500 学术型
76 102804210008481 东惟龙 通信与信息工程学院 通信与信息系统 311 189 500 学术型
77 102804210010598 秦福 通信与信息工程学院 通信与信息系统 304 196 500 学术型
78 102804210000178 延丰 通信与信息工程学院 通信与信息系统 317 181 498 学术型
79 102804210003867 叶旸 通信与信息工程学院 通信与信息系统 309 188 497 学术型
80 102804210005806 郑光军 通信与信息工程学院 通信与信息系统 304 193 497 学术型
81 102804210010627 王清泉 通信与信息工程学院 通信与信息系统 288 208 496 学术型
82 102804210003621 王培强 通信与信息工程学院 通信与信息系统 311 184 495 学术型
83 102804210000147 王腾蛟 通信与信息工程学院 通信与信息系统 290 205 495 学术型
84 102804210000137 朱康华 通信与信息工程学院 通信与信息系统 304 190 494 学术型
85 102804210007092 张炜 通信与信息工程学院 通信与信息系统 305 188 493 学术型
86 102804210007088 尹杰 通信与信息工程学院 通信与信息系统 303 188 491 学术型
87 102804210003868 王杰 通信与信息工程学院 通信与信息系统 304 186 490 学术型
88 102804210008391 曹琳 通信与信息工程学院 通信与信息系统 301 186 487 学术型
89 102804210000106 华东 通信与信息工程学院 通信与信息系统 288 198 486 学术型
90 102804210007847 李泽福 通信与信息工程学院 通信与信息系统 291 195 486 学术型
91 102804210000070 梁琪 通信与信息工程学院 通信与信息系统 286 200 486 学术型
92 102804210000167 张卫宾 通信与信息工程学院 通信与信息系统 305 181 486 学术型

缩略图:

  • 缩略图1
  • 缩略图2
  • 缩略图3
  • 缩略图4
当前页面二维码

广告: